附录 占意流网络的定量规律
在第 3 章中,我们引入了占意流网络的概念,并指出占意流与能量流之间的相似性。这种相似性主要体现在守恒性、耗散性上面。实际上,另一个很重要的相似性还体现在这两种流动都共同遵守的克雷伯定律——这个定量的规律上面。该规律描述了新陈代谢和生物体体积之间的幂律关系。如果我们将一个网络社区如贴吧看作一个生物体,那么,贴吧的新陈代谢占意流和这些贴吧的总占意流(体积)也遵循着广义的克雷伯定律。
用户的占意流对于虚拟世界中的数字资源来说可以看作一种能量流。我们知道,真实世界中的生物体需要获取外界的食物以捕获能量流,这就是生物体新陈代谢的本质。在生物界,这种能量的新陈代谢满足一个被称为克雷伯定律(Kleiber's law)的基本数学法则¹。该定律指出,无论是细胞还是大象,所有生物体的新陈代谢和它的体积之间都必然满足3/4 的幂律关系。这条定律是如此地精确和普适,以至于人们将其称为生物学界的开普勒定律。
克雷伯定律
生物学中的克雷伯定律是由生物学家马克斯·克雷伯(Max Kleiber)于 1932 年经过大量的实验得到的一个实证性规律。它体现为生物体的新陈代谢(F )与该生物体的体重(M )之间满足一个很好的 3/4 幂律关系,即
F = cMᵇ
其中,c 是一个比例常数,b 为幂律指数,为 3/4。如果我们将生物体的 F 和 M 两个量绘制在双对数坐标下,就得到了图 A-1²。

图中,所有的数据都汇聚到了一条直线上,这条直线的斜率刚好等于 0.75,说明这些生物体满足克雷伯定律。
后来,科学家进一步验证了这条定律,并发现它的适用范围非常广,从细胞到大象、鲸鱼,从冷血动物到植物,都满足这一定律。
广义的克雷伯定律是指有些系统的新陈代谢和体量之间的关系(例如社区的 UV 和 PV)也满足公式,只不过幂指数 b 并不等于 3/4。
假如说占意流就相当于能量流,数字资源对占意流的获取就相当于新陈代谢,那么数字资源本身是否满足克雷伯定律呢?
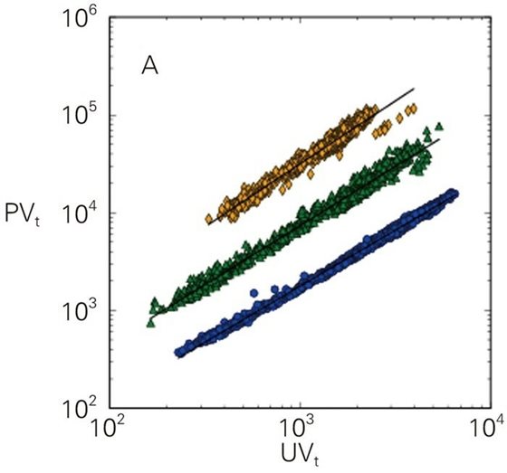
为了验证这个猜想,我们选择了百度贴吧作为研究对象。我们知道百度贴吧是一个由各种贴吧构成的大型网络社区。我们可以将一个贴吧看作一个生物体,将贴吧内的一个个帖子看作它的细胞,将用户在不同帖子之间的跳转看作生物体内的血液流动,将单位时间内该贴吧吸引的用户数(UV)看作它从外界获取的新陈代谢能量流,将该贴吧在一个时间段内获得的总浏览量(PV)看作贴吧的体积,那么我们只需要验证 UV和 PV 之间是否遵循以 3/4 为指数的幂律关系就可以了。如图 A-2 所示,我们展示了 3 个贴吧的 UV-PV 关系图³。

令人吃惊的是,对于贴吧来说,虽然它的主题不同,体积大小也不同,但是它们也遵循广义的克雷伯定律,即新陈代谢和体积遵循幂律关系,只不过幂律指数不再是固定的 3/4,而是会因贴吧的不同而不同。在图A-2 中,我们展示了 3 个不同贴吧的广义克雷伯定律,每个贴吧(同一种颜色的点)在不同小时内的点在双对数坐标下形成了一条直线,这些直线的斜率就是该贴吧的幂律指数。
既然不同贴吧的幂指数(斜率)不同,那么它的大小反映的是什么呢?
进一步研究发现,这个幂指数可以看作该贴吧的一种交互黏性度量:即幂指数越大,该贴吧成员之间的互动性越强。而且这个交互黏性的度量相比较其他黏性指标具有稳定、反映动态信息等特点。经过实证数据的分析,我们还发现那些热度比较高、用户比较活跃的贴吧的确黏性程度越高,而那些不活跃的小吧,黏性程度也低。
由此我们得出结论,至少从广义的克雷伯定律角度来看,虚拟世界中的贴吧与真实世界的生命体遵循着类似的新陈代谢法则。这让我们再一次确信生物世界中的能量流与虚拟世界中的占意流的相似性。其次,一个有意义的结论是,我们找到了一种新的度量网站或论坛黏性程度的指标。该指标能够更好地反映成员之间的互动情况。
交互黏性
由于贴吧满足广义的克雷伯定律,也就是说
PV = cUVᵇ
根据这个式子,我们可以得到:
PV/UV = cUVᵇ⁻¹
而我们知道:PV/UV 刚好就是平均每个用户的浏览数量 L。
如果 b =1,那么 L 就与 UV 无关。所以,无论浏览贴吧的用户有多少,每个用户的浏览数都是一个常数。这说明用户彼此之间没有交互。
如果 b >1,那么 L 会随着 UV 的增长而增长,并且 b 越大,L 会增长得越快。这说明,更多的用户就会带来更多的每用户的平均访问量。因此,用户越多就会越激活每个人的积极性,导致每个用户更愿意浏览贴吧来与别人互动。所以,我们说 b 是一种交互黏性。
同时,由于 b 的计算依赖于一个贴吧在多个不同小时内的整体表现,所以 b 可以反映贴吧的动态信息,即当贴吧的访问用户增加1% 的时候,每用户的平均访问量能增加多少。
另外,根据图 A-2 我们看到,b 不会随着贴吧的尺度 PV 或者 UV而变,所以它是一个稳定的量。
最后,b 只与不同的贴吧有关,所以它是贴吧的一种本征属性。
【看完了】






本书评论